Fast Algorithms and the FEE Method
E.A.
Karatsuba
I. FAST ALGORITHMS
The field of
computational mathematics, which is called Fast
Algorithms, was born in 1960. By an algorithm,
not formalizing this concept, we mean a rule or a way of computation.
We assume that numbers are written in
the binary form, the signs of which 0 and 1 are called bits.
Def.1.
Writing down of one of the symbols 0,1,+,-,(,), putting together, subtraction and multiplication of two bits is called
an elementary operation or a bit operation.
Fast Algorithms is the field of computational
mathematics that studies algorithms of evaluation of a given function with a
given accuracy, using as few bit operations as possible. Thus the algorithms,
which, can be called fast ones, are real algorithms. Realizing such algorithms
in software (and sometimes in hardware) it is possible to increase essentially
the computer's efficiency, and sometimes to solve problems of the size that
didn't permit a
solution by
means of ordinary methods of computation. The question of the size of a
problem, which can be solved in a certain time with the help of a given
computer, leads us to the concept of complexity of computation.
The problem of bit complexity of computation was first
formulated by
A.N.Kolmogorov
http://www.kolmogorov.com/
(1956)
[36], [37], who emphasized at the same time, that ‘… the
series of my works on information theory was created in the 50s and 60s under a
strong influence of publications by Norbert Wiener http://www-groups.dcs.st-and.ac.uk/~history/Mathematicians/Wiener_Norbert.html
and Claude Shannon http://www-groups.dcs.st-and.ac.uk/~history/Mathematicians/Shannon.html …’
Before we introduce the concept of complexity of computation, we define
what it means to evaluate a function at a given point.
Consider
the simplest case: let y =
f(x) be a real
function of a real argument x , a ≤ x
≤ b , and
assume that f(x)
satisfies on
(a,b) the Lipschitz condition of order α , 0 < α < 1 , that is for x1, x2 ∊ (a,b) :
|f(x1) -
f(x2)| ≤ | x1 - x2 |α .
Let n be a natural number.
.
Def.2.
To compute the function y = f(x)
at the point
x = x0 ∊ (a,b) up
to n
digits means to find such a number A, that
| f(x0) – A
| ≤ 2⁻ⁿ.
Def.3. The
total number of bit operations sufficient to compute the function f(x) at
the point x = x0 with
accuracy up to n digits
by means of a given algorithm, is called the complexity of computation of f(x) at the point x = x0.
up to n digits.
Thus, the complexity of computation of f(x) at the point
x
= x0 is
a function of n;
and so are f(x) and x
= x0 .
This function
is denoted by
sf(n) = sf,x0(n).
It is clear
that sf depends
also on the algorithm of calculation and for different algorithms will be different.
The complexity of a computation is directly related to the time that the
computer needs to perform this computation. For this reason, the complexity is
often treated as a 'time' function T(n) [35].
The problem of behaviour sf(n)
as n → ∞ for a class of functions or for a particular function f,
was for the first time formulated by Kolmogorov
around 1956. Since in computations the four arithmetical operations, namely,
addition, subtraction, multiplication and division are used in the first place,
one needs to know the number of bit operations sufficient for performing these
operations. Definitions 2 and 3 imply that the numbers
x0 and A
can be represented in the form of the integral part
and n
binary digits
after the binary dot,i.e.,
A = [A] + 0,ν1ν2 ν3 …νn,
x0 = [x0] +
0,μ1μ2μ3 …μn,
where νj, μj = 0 or 1 , j = 1, 2, … , n.
Since the
integral parts [A] ,
[x0] are fixed and n → ∞ , the operations are, in fact, performed on n -
digit integers. Therefore, first of all there is
a problem of estimating the complexity of calculation of the sum, difference,
product, and quotient of two n -digit integers a
and b.
Note that division (with a remainder) reduces to
addition, subtraction and multiplication of numbers. To write down the numbers a and b one needs at least 2n bit operations. Consequently, the
complexity of addition (subtraction) of a and b
is not less than 3n bit
operations, and not more (when doing it in an ordinary manner) than 4n
bit
operations. Hence, the order of the number of bit operations which are
necessary and sufficient for
putting together and subtracting is the same.
In what follows we call the bit operations simply operations,
omitting the word bit.
The next problem is the problem of the total number of bit operations
sufficient for computing the product ab,
or the problem of complexity of multiplication.
The function of complexity of multiplication has the special notation
M(n).
Multiplying
two n -digit
numbers in the ordinary school way, ‘in column’, we actually put together in
this case n n
–digit numbers. So for the complexity of this ‘school’ method or ‘ordinary’
method we get the upper bound
M(n) = O(n²).
In
1956 A.N.Kolmogorov formulated the conjecture, that the low bound for M(n)
for any
method of performing the multiplication
is also of order n² (the so-called
Kolmogorov
'n²
-conjecture'). The fact
that the method of multiplication ‘in column’ has been known at least for 4
thousands years (for example, this method was used by summers), so that if
there existed a faster method of multiplication, it would have been most likely
already found, was an argument in favour of the 'n²
-conjecture'.
In 1960 A.Karatsuba
http://www.mi.ras.ru/~karatsuba/index_e.html
[19], [20], [21] (see
also [35]) found
a method of multiplication with the complexity bound
M(n) = O(nlog 23 ), log 2 3 = 1,5849… ,
and thus
disproved the 'n²
-conjecture'. Later the
method was called ‘Divide and
Conquer’; the other names of this method, used at the present, are ‘Binary Splitting’, ‘Dichotomy Principle’ etc.
The appearance
of the method ‘Divide and Conquer’ was the starting point
of the theory of fast computations. A number of authors (among them Toom http://www.de.ufpe.br/~toom/ [48], Cook http://www.cs.toronto.edu/~sacook/[15], and Schőnhage http://www.informatik.uni-bonn.de/~schoe/index.html
[43])
continued to look for an algorithm of multiplication with the complexity close
to the optimal one, and in 1971
Schőnhage and Strassen www.physicsdaily.com/physics/Volker_Strassen
[44], [45] constructed an algorithm
with the best known (at present) upper bound for M(n),
M(n) = O(n log n log log n).
In the
construction of this algorithm, apart from ‘Divide and Conquer’, they used the idea of realizing arithmetic
operations modulo the Fermat numbers 22ⁿ +1, and the Fast Fourier
Transform.
On the basis of the method ‘Divide and Conquer’ the algorithms of fast matrix multiplication
were constructed. Strassen [47] was the first to find such algorithm in 1970,
later these
investigations
were continued by Coppersmith http://www.research.ibm.com/people/c/coppersmith/ and Winograd
http://researchsmp2.cc.vt.edu/DB/db/indices/a-tree/w/Winograd:Shmuel.html [16], Pan http://comet.lehman.cuny.edu/vpan/ [41] and
others.
Approximately
at the same time the first algorithms of calculation of elementary algebraic
functions started to appear. As it was already
mentioned before, the division of the number a by the number b with residue, that is the calculation of the
numbers q
and r
in the formula
a = qb
+ r , 0 ≤ r <
b,
is reduced to
addition-subtraction and multiplication, and if a and b are n -digit numbers, then the complexity of division is O(M(n)).
The simplest algorithm of division is to compute
the inverse value 1/b with accuracy up to n digits by the
Newton method and after that to
multiply by a
using the fast multiplication algorithm.
Assume that
we must find x = 1/b, where 1/2 ≤
b ≤ 1
(if this is not true, then multiplying or dividing by 2N we obtain
the example under consideration). As an initial approximation we take x0 = 3/2
and calculate by formula
xn+1 = 2xn - bxn².
This method provides sufficiently fast
convergence to 1/b, since from the equality
xn = 1/b - ε, it
follows xn+1 = 1/b - bε².
For taking
the root of k -th degree from a number, that is
for the calculation of a1/k,
it is also possible to use the Newton
method. Assume k ≥ 2 is an integer and we must compute x = a1/k, where a ≥ (k+1)k. We compute
x by the formula:
xn+1 = (k+1)xn
/k – (xnk⁺¹)/(ka).
Note that multiplying or dividing by
2kN, one can
always get the condition
a ≥
(k+1)k (sometimes this condition is unnecessary, because the
indicated process converges fast for other a, either). As
an initial approximation it is possible to take, for example, one of the
numbers d or d+1,
where d is the integer
that satisfies the condition dk < a ≤ (d+1)k. The complexity of the calculation is also O(M(n)).
First fast algorithms of computation of elementary
algebraic functions based on the Newton
method appear in the works of Cook [15], Bendersky http://www.bisguard.com/ [8] and Brent http://web.comlab.ox.ac.uk/oucl/people/richard.brent.html [11] (see also [35]). Using Newton's method, it is possible to prove also the following theorem
([11]):
Theorem. If the equation f(x) = 0
has a simple root ζ ≠ 0, f(x) is Lipschitz continuous in the neighborhood ζ ,
and we can compute f(x) with accuracy up to n digits by O(M(n)j(n)) operations,
where
j(n) is a
positive, monotone increasing function for any x from a
neighborhood of ζ,
then it is possible to calculate ζ
with accuracy up to n digits
also by O(M(n)j(n)) operations.
In 1976 Salamin http://www.ams.org/mathscinet-getitem?mr=53+%237928 [42] and Brent [11] suggested first algorithm for fast evaluation of the
constant π based on the AGM-method of Gauss (see, for example, [13], [14]). Using also the
ascending transformations of Landen http://www-groups.dcs.st-and.ac.uk/~history/Mathematicians/Landen.html [38], Brent [11] suggested the first AGM -algorithms for evaluation of
elementary transcendental functions. Later many authors have been going on to
study and use the AGM -algorithms.
Among those authors were the brothers Jonathan Borwein http://www.cs.dal.ca/~jborwein/
and Peter Borwein http://www.cecm.sfu.ca/~pborwein/, who wrote
the book ‘The Pi and the AGM’ [9], where the greatest number of AGM -algorithms were collected. Apart from the algorithms of calculation of elementary
transcendental functions, in this book there were also algorithms for
evaluation of some higher transcendental functions (the Euler Gamma
function,for example). To compute such functions with accuracy up to n digits using the algorithms described in the
book one needs
O(n3/2 log3
n log log n)
operations.
About some other results connected with ‘Divide and Conquer’ and fast calculations see [1], [2], [3],
[6],[7], [17], [18], [35], [40].
II. THE
FEE METHOD
1. Introduction.
Definition of a fast algorithm
An algorithm of computation of a function f = f(x), is said to be fast, if for this algorithm
sf(n)
= O(M(n) logc n)
,
where c is a constant. Here and below we assume that for
M(n)
the Schőnhage-Strassen bound holds. It is obvious that for any
algorithm and any function f, the inequality
sf(n) > n
is valid.
(Note that recording some number with accuracy up to n digits
requires itself not less than n+1 operations.)
Therefore, for fast algorithms
n
< sf(n)
< c1 n logc+1n loglog n < n1+ε
for any ε > 0 and n > n1(ε). That is, for the fast computational
algorithms the order of upper bound of sf(n) in
n , n → ∞, is correct.
The method FEE
(since 1990) [22]—[34] (see also
[4]—[6], [39]) is at present the second known method (after the AGM) for fast evaluation of classical
constants e and π, and
elementary transcendental functions. But, unlike the AGM, the FEE is also the
method for fast computation of higher transcendental functions.
At present
the FEE is the unique method,
permitting to calculate fast such higher transcendental functions as the Euler
Gamma function, hypergeometric, spherical, cylindrical etc. functions for
algebraic values of the argument and parameters, the Riemann zeta function for
integer values of the argument and the Hurwitz zeta function for integer values
of the argument and algebraic values of the parameter.
2.
Calculation of the constant e.
The main idea of the method FEE is explained in the easiest way by
the example of calculating the classical constant e. To begin with, we
consider the algorithm of computation of
n! in log n steps with the complexity
O(n log3
n log log n).
For simplicity we assume that n = 2k , k ≥ 1.
Step 1. Calculate n/2 products of
the form:
a1(1) =
n(n-1) , a2(1) = (n-2)(n-3) , … , an/2(1) = 2*1 .
Step 2.
Calculate
n/4 products
of the form:
a1(2) = a1(1)a2(1)
, a2(2) = a3(1)a4(1),
… , an/4(2) = an/2(1)an/2-1(1)
.
… etc.
Step k, the last one. Calculate
one product of the form:
a1(k) =a1(k-1)a2(k-1)
.
This gives
the result: n!
For the evaluation of the constant
e take m = 2k , k ≥ 1, terms of the Taylor series for e,
e = 1 + 1/1! + 1/2! +
… + 1/(m-1)! + Rm .
Here we choose m, requiring that for the remainder Rm the inequality Rm ≤ 2⁻ⁿ⁻¹
is fulfilled. This is the case, for
example, when m ≥
4n/log n. Thus,
we take m = 2k
such that the
natural number k is determined by the
inequalities: 2k ≥ 4n/log n > 2k⁻¹.
We calculate
the sum
S = 1 + 1/1! + 1/2! + … +
1/(m-1)! =

in k steps of the following process.
Step1. Combining
in S the summands sequentially in pairs we carry
out of the brackets the 'obvious' common factor and obtain
S = (1/(m-1)! +
1/(m-2)!) + (1/(m-3)! + 1/(m-4)!) + … = (1/(m-1)!)(1+m-1) + (1/(m-3)!)(1+m-3) + …
We shall
compute only integer values of the expressions in the parentheses, that is the
values
m , m-2 , m-4, … .
Thus, at the
first step the sum S is into
S =
S(1) ;

m1=
m/2 , m = 2k , k ≥
1.
At the first
step m/2 integers of the form
αm1-j(1) = m - 2j , j = 0, 1, … , m1-1
.
are
calculated. After that we act in a similar way: combining on each step the
summands of the sum S sequentially
in pairs, we take out of the brackets the 'obvious' common factor and compute
only the integer values of the expressions in the brackets. Assume that the
first i steps of this process are completed.
Step i+1 (i+1 ≤ k).
S =
S(i+1);

mi+1
= mi /2 = m/2i+1 ,
we compute
only m/2i+1 integers of the form

j
= 0 , 1 , … , mi+1-1, m = 2k , k ≥
i+1 . Here ((m-1-2i+1j)!/(m-1-2i-2i+1j)!) is the product of
2i
integers.
…
etc.
Step k , the last one.
We compute one integer value α1(k), we compute, using the fast
algorithm described above the value (m-1)!, and make one division of the integer α1(k) by
the integer (m-1)!, with accuracy up to n
digits. The obtained result is the sum S, or the constant e up
to n digits. The
complexity of all computations is
O(M(m) log2
m) = O(M(n)
log n) .
3. The method FEE and the summation of series
The method was called FEE (Fast
E-function Evaluation) for the reason that it makes it possible to compute
fast the Siegel E -functions, and in particular,
ex. A class of functions, which are ‘similar to
the exponential function’ was given the name ‘E-functions' by Siegel http://www-groups.dcs.st-and.ac.uk/~history/Mathematicians/Siegel.html [46]. Among these functions are such higher transcendental
functions as the hypergeometric function, cylindrical, spherical functions and
so on. With the help of the FEE it
is possible to compute fast any suitable power series. For example, for fast
evaluation of the
constant π, one can use the Euler formula
π/4 =
arctan 1/2 + arctan 1/3,
and apply
the FEE to sum the Taylor series for
arctan 1/2 = 1/(1*2) – 1/(3*2³) +
… + (-1)r-1/((2r-1)22r-1) + R1 ,
arctan 1/3 = 1/(1*3) – 1/(3*3³) +
… + (-1)r-1/((2r-1)32r-1) + R2
,
with the
remainder terms R1, R2,
which satisfy the bounds
| R1| ≤
4/5/(2r+1)/22r+1;
| R2| ≤
9/10/(2r+1)/32r+1;
and for
r = n, 4(|R1|+| R1|) < 2⁻ⁿ.
To calculate π by the FEE
it is possible to use also other approximations, for example from [5]. The
complexity is
sπ(n) = O(M(n) log2n)
.
To compute
the Euler constant gamma with accuracy up to
n digits, it is
necessary to sum by the FEE two
series. Namely, for m = 6n, k = n,
k ≥ 1,

The complexity is
sγ(n) = O(M(n) log2n) .
To evaluate fast the constant γ it
is possible to apply the FEE to the approximation from [12].
By the FEE the two following
series are calculated fast:


under the assumption that a(j), b(j) are
integers, |a(j)|+|b(j)|
≤ (Cj)K; |z| < 1; K and C
are constants, and z is an algebraic number. The complexity of the
evaluation of the series (1), (2) is
sf1(n) = O(M(n) log2n) ,
sf2(n) = O(M(n) log n) .
4. Calculation of the exponential function by the FEE
Consider y = f(x) = ex.
We calculate the function y = ex at
the point x = x0
with accuracy 2⁻ⁿ, assuming
first that
0 < x0 < 1/4 , n > 8. (3)
Take the
integer k, satisfying the conditions
2k⁻¹ < n ≤
2k and set N = 2k+¹ (note that
2n
≤ N < 4n).
For xN
= α32⁻³ + α42⁻4 + …
+ αN2⁻N, where
αj = 0 or 1,
j = 3, 4, … , N, we
get
| x0 - xN
| ≤ 2⁻N.
Then
ex0 = exN + 4θ1 2⁻N
; | θ1 | ≤ 1 .
Let us compute
exN.
Represent xN in the form
xN =
β2 /24 + β3
/28 + β4 /216 + … + βk+1/2N ,
where
β2 = α3α4 ; β3 = α5α6α7α8 ; … ; βk+1 =
αN – 2k
+ 1αN – 2k +
2 … αN – 1 αN .
Here βν is
a 2ν⁻1 -digit integer, with 2 ≤ ν
≤ k+1
and k+1 = log N.
Thus, it is possible to represent the number exN as the product

We expand each factor of this
product in the Taylor series:

r
= N 2⁻ ν+1.
For the remainder of the Taylor series
Rν(r) the following inequalities are valid:

Rν(r) < 2⁻N .
Consequently,
it is possible to rewrite (4) in the form

where

and the
constants θν(r) satisfy
the estimate 0 <
θν(r) < 1
.
It is easy to
see that the sum (5) is suitable for summing by means of the FEE. At the last step of the process we
have in (5)

and then we make one division of the integer aν by the integer
bν
with accuracy up to
N
digits. That
is, we obtain ην such that
ξν = aν /bν = ην + θ′ν
2⁻N , | θ′ν | < 1 .
Then exN can be represented in the form

| θν | ≤ 1 .
We define the integer l from the inequalities 2l⁻¹ < k ≤ 2l.
Assuming
that ην
=1, θν = 0 for
ν > k, we can rewrite the last relation in
the form

| θν | ≤ 1 .
It is clear that
log k
≤ l < log k + 1.
The last
product is computed in l
steps of the process, which is similar to
calculating n!.
We multiply the factors of (6) sequentially in pairs, computing at the first step 2l⁻¹ products of
the form
(ην + 2 θν 2⁻N) (ην +1 + 2 θν+1 2⁻N) = ην ην +1
+ 2 θν 2⁻Nην +1 + 2 θν+1 2⁻N ην + 4θνθν+1 2⁻2N = ην
,ν +1 + 8 θν,ν+1 2⁻N,
ν ≡
0(2) , ν = 2, 3, … , 2l + 1,
where ην ,ν +1 is the
N –digit
integer such that
ην
,ν +1 = ην ην +1
+ θ̃ 2⁻N , | θ̃ | ≤ 1 , | θν
,ν+1| ≤ 1.
Here we take
into account that | ην | < exN <
ex0 < 3/2 .
After the 1-st step of this process the product
(6) takes the form:

ν ≡ 0(2)
|
θν ,ν+1|
≤ 1.
Further we
act in a similar way.
After the 2-nd step of this process the product
(6) takes the form:

ν ≡ 2(4)
|
θν,ν+1,ν+2,ν+3|
≤ 1.
…
etc.
In l steps we obtain

|
θ2, …, 2l +
1 | ≤
1.
Since
l < log k +1, k
= log N - 1, 2n
≤ N < 4n, we find from the last relation that
ex0 = η + θ 2⁻n ,
where η = η2, …, 2l +
1 ,
| θ | ≤ 1.
The complexity of the computation of
ex0 with the
help of this process is
O(M(n) log2n)
.
Remark 1. We considered the case
0 < x0 < 1/4.
If
x0 ≥ 1/4, then we take the least integer m such
that m
> 4x0.
In this
case 0 < x0/m < 1/4 , ex0 = (ex0/ m)m. Thus evaluation of ex0 is reduced to evaluation of
ex0/ m ,
0
< x0 /m < 1/4,
and to taking the m -th power of
the result. This doesn't make the bound worse, because m is a
fixed number.
5. Calculation of the trigonometric functions by the
FEE
Computation
of the trigonometric functions y = f(x) = sin x and y = f(x) = cos x at the point
x = x0 can be
reduced to the computation of real and imaginary parts of
eix0. We represent the number xN
in the same form as in the previous case,
then eix0 = eixN + 4θ1 2⁻N ,

|
θ1 | ≤ 1 .
We write

in the form

where


0
< θν(r) < 1.
Then we
perform with the sums (8), (9) the same actions as with the sum (4). Let ην, fν be
N –digit integers such that
ξν =
a′ν /bν = ην
+
θ′ν 2⁻N ,
| θ′ν | ≤ 1,
ψν = a″ν /dν
= fν + θ″ν
2⁻N
, |
θ″ν | ≤ 1,
, ![]()
Then (7) can
be represented in the form

|
θν | ≤ 1 .
We compute the product (10) by means of the
process which is described in the previous paragraph. As a result we find with
specially chosen l , N , r
eix0 = f + i η + 2θ 2⁻N , | θ | ≤ 1 ,
whence
cos x0 = f
+ θ1 2⁻n
,
| θ1| ≤ 1
,
sin x0 = η +
θ2 2⁻n , | θ2 | ≤ 1 .
The complexity of the evaluation is the same as for the exponential
function:
O(M(n) log2n).
In [25] the following general theorem is proved:
Theorem. Let y=f(x) be an elementary transcendental function,
that is the exponential function, or a trigonometric
function, or an elementary algebraic function, or
their superposition, or their inverse, or a superposition of the inverses. Then
sf(n)
= O(M(n) log2n)
.
6. Fast evaluation of the Euler
gamma function for a rational value of the argument
The Euler
gamma function y
= Γ(s), is
one of those higher transcendental functions, that, being not Siegel
E-functions, at the same time can be
calculated fast by the FEE. There
are two algorithms for the evaluation of Γ(s):
1) for rational values of the argument s ; 2) for algebraic
values of the argument s. The first of these algorithms is more 'simple' than
the second one. We compute the
function y = Γ(x) , for x = x0 = a/b ;
(a,b) = 1,
assuming at
first that 0 < x0 < 1, that is 0 <
a < b. We
use the representation of the
gamma
function in the form of the integral

It is easy to
see that for p = n, 0 <
x0 < 1,

, 0
< θ1 <
3/4.
Hence,

0 < θ1
< 3/4.
Assuming that
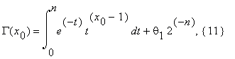
r ≥ 3n, we expand the integrand in (11) in the Taylor series
in powers of t:

where Rr = θr tr+1/(r+1)!, | θr | ≤
1. From here we have for r+1 = 6n
Γ(x0) = nx0 S + θ 2⁻n , | θ | ≤ 1 , (12)
where

and we will calculate Γ(x0) = Γ(a/b)
by
(12)--(13). We note, that for the calculation of the value nx0 = na/b, with accuracy up to n digits, O(M(n)) operations are sufficient (by the Newton method). For the calculation of
the sum S we take r+1 =
2k, 2k⁻1 < 6n ≤ 2k,
k
≥ 1; terms of the
series (13). We set

Then it is possible to rewrite (13) in the form
S = S1(0) +
S2(0) + … + Sr+1(0) .
We compute
the sum S by the FEE
in k steps, combining at each step the summands
of S sequentially in pairs and taking out of the
brackets the 'obvious' common factor. However, unlike the computation of the
constant e, now in each pair of the brackets there are fractions, not
integers . So that at each step we calculate the integer numerator and the
integer denominator of the fraction, sitting in each pair of brackets (we do
not divide until the last step). At the first step we have
S = S1(1) +
S2(1) + … + Sr1(1) , r1 = (r+1)/2
Sr1-ν(1) =
Sr+1-2ν(0) + Sr-2ν(0) = (-1)r⁻1n r⁻ 2 ν⁻1/(r-2ν)! (pr1-ν(1)/qr1-ν(1)) .
At the 1-st step we calculate the integers
pr1-ν(1) = - bn(br-2bν -b+a) +
(br-2bν)(br-2bν +a) ;
qr1-ν(1) = (br-2bν
+a)(br-2bν -b+a) ;
ν = 0 , 1 , … ,
(r+1)/2-1 ; r+1 = 2k , k ≥ 1.
At the j -th step (j ≤ k ) we
have
S = S1(j) +
S2(j) + … + Srj(j) , rj = (r+1)/2j
where Srj-ν (j); ν = 0 , 1 , … , rj -1 ; are defined by the equalities

At the j -th step (j ≤ k) we calculate the integers


![]()
ν = 0 , 1 , … , rj -1 ; rj =
(r+1)/ 2j.
… etc.
At the k-th
(the last) step we calculate
the integers prk(k) = p1(k),
qrk(k) = q1(k), r! and make one division with accuracy
2⁻2n
by the
formula
S = S1 (k)
= prk(k)/qrk(k)/r! ,
which gives the sum S with accuracy 2⁻n⁻1 . Hence Γ(x0) = Γ(a/b) is calculated with accuracy
2⁻n+1, n ≥ 1. The complexity of such calculation is
s Γ (n) =
O(M(n) log2n) = O(n log3n loglog n).
Remark 2. We
evaluated Γ(x0), x0 = a/b, assuming
that 0 < x0 < 1. If
x0 ≥ 1,
then using the relation
Γ(x+1) = xΓ(x), we reduce this calculation to the
calculation at the point from the interval (0,1).
7.
Fast evaluation of the Euler gamma function for an algebraic argument
We shall
evaluate Γ(x0), where x0 is
an algebraic number. As in Remark 2, we reduce this computation to the
computation of Γ(α), 0
< α < 1, where α is an algebraic number. For simplicity, here
we consider
the case, where α is a real number of degree μ, μ ≥ 2.
We assume that we know g(x), the
polynomial of the
least degree with integer coefficients, whose
root is α,
that is
g(x) = gμ xμ
+ gμ-1xμ⁻1 + … + g1x
+ g0 ; g(α) = 0 ; (14)
gμ,gμ-1, …,g0 are integers, μ
≥ 2.
As in the case of rational argument, we use (12), (13).
We note that
the computation of the value nα with accuracy 2⁻2n
by formula nα
= eα log n requires
O(M(n) log2n) operations. The sum S from (12) takes the form

that is
S = S1(0) +
S2(0) + … + Sr+1(0) ,
(16)
where

The computation of S is realized in k
steps, r+1 = 2k, 2k⁻1
< 6n ≤ 2k, k ≥ 1.
The
peculiarity of this algorithm is that we use the main property of algebraic
numbers to bound the growth of
the
computational complexity. Before the step
i, where i is determined from the conditions 1 ≤ i ≤
k ,
2i⁻1 < μ ≤ 2i, we perform with the sum (16), (17) the actions similar to the ones
described above for the case of rational argument. However, arranging the terms
of the sum (16) in groups in the same way as in the previous
paragraph,
what we calculate at each step now is not the numerator and the denominator of
the fractions which are ‘in brackets’, but only the integer coefficients of the
powers of α, of the polynomials
in the numerators and denominators of the fractions ‘in brackets’.
At the 1-st step in brackets
there are the numbers

and we
calculate the integers
![]()
![]()
![]()
![]()
ν = 0 , 1 , … , (r+1)/2-1.
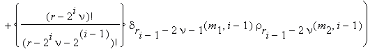
At i -th step in brackets there are the numbers

where

and we
calculate the integers


0 ≤ m 1 ≤ 2i⁻1-1 , 0 ≤ m 2 ≤ 2i⁻1.

0 ≤ l 1 ≤ 2i⁻1 , 0 ≤ l 2 ≤ 2i⁻1.

Note that the
multiplication by the power of α and the computation of δ and ρ, also the division of
δ by ρ, are not produced
till the last step.
Before the i+1 -st step (1
≤ i ≤ k ,
2i⁻1 < μ ≤
2i) we reduce the
polynomials (19) modulo polynomial g(x) for x = α.Thus, if
![]()
![]()
where pt-1, …,p0, qt ,…,q0
are integers, t
= 2i, then we divide
P(x) and Q(x) by g(x) with the remainders:
P(x) = g(x)P0(x)
+ P1(x) , Q(x) = g(x)Q0(x)
+ Q1(x) ,
where P1(x) and Q1(x) are the polynomials with rational
coefficients, and the degrees of the polynomials P1(x) and Q1(x)
are not greater than μ-1. From here
and from (14) we obtain that
P(α) = P1(α), Q(α) = Q1(α),
that is, in
(18) we get
βri-ν(i) = P1(α)/Q1(α) . (20)
Multiplying,
if necessary the numerator and the denominator of the fraction (20) by an
integer common factor, we get in the numerator and the denominator of the
fractions 'in brackets' the polynomials with integer coefficients of degree not
higher than μ-1. Starting with
i, at each
step i, i+1, …, k, we reduce the polynomials in α, sitting in the numerator and the denominator of βξ(j) modulo
g(x). Since the
coefficients of g(x) and the
degree of g(x)
are the absolute constants, we conclude that the values of these coefficients,
participating in the reductions described above can increase in at most gμ times, where
g = max 0≤i ≤μ |g i|,
what does not
make any influence on the bound of the complexity of the calculations we
perform. At the last, k -th, step of this process we get

where
![]()
![]()
p, q ≤
μ-1, and we calculate δrk(k), ρrk(k) and S, and
consequently Γ(α) with
accuracy 2⁻n+1. The
complexity of the computation
s Γ (n) = O(M(n) log2n)
8.
Conclusion
The presented method FEE, the
method of fast summation of series of a special form, permits to compute any
elementary transcendental function for any value of the argument, the classical
constants e, π, the Euler constant γ, the Catalan
and the Apery constants, such higher transcendental functions as the Euler
gamma function and it's derivatives, the hypergeometric, spherical, cylindrical
and other functions for algebraic values of the argument and parameters, the
Riemann zeta function for integer values of the argument and the Hurwitz zeta
function for integer argument and algebraic values of the parameter, and also
such special integrals as the integral of probability, the Fresnel integrals,
the integral exponential function, the integral sine and cosine, and some other
integrals for algebraic values of the argument with the complexity bound which
is close to the optimal one, namely
sf(n)
= O(M(n) log2n)
.
At present, only the FEE makes it possible to calculate fast the
values of the functions from the class of higher transcendental functions,
certain special integrals of mathematical physics and such classical constants
as Euler's, Catalan's and Apery's constants. An additional advantage of the
method FEE is the possibility of parallelizing the algorithms based on
the FEE.
References
[1] V.B.Alekseev,
From the Karatsuba Method for Fast Multiplication of Numbers to Fast Algorithms
for Discrete Functions. Proceddings of the Steklov Inst.of Math., v. 218,
pp.15-22 (1997).
[2] V.B.Alekseev,
S.A.Lozkin, Elements of graph theory, circuits and automata. Publ. VMK MGU,
58 pp., Moscow (2000).
[3] G.N.Arkhipov,
V.N. Chubarikov, V.A. Sadovnichii, Lectures in Mathematical Analysis. Publ.
'Vysshaya Shkola',
695 pp., Moscow (1999).
[4] E.Bach,
The complexity of number-theoretic constants. Info.Proc.Letters, N 62,
pp.145-152 (1997).
[5] D.H.Bailey,
P.B.Borwein and S.Plouffe, On
the rapid computation of various polylogarithmic constants.
Math. Comp.,v. 66, pp.903-913 (1997).
[6] J.C.Bajard,
J.M.Muller, Calcul et arithmétique des ordinateurs. Hermes Science,
226 pp. (2004).
[7] L.A.Bassalygo, Note on fast
multiplication of polynomials over Galois fields.
Probl. of Inform.Transm., 14 (1), pp.71-72
(1978).
[8] Benderskij
Yu.V., Fast Computations. Dokl.Akad.Nauk SSSR, v.223, N 5, pp.1041-1043
(1975).
[9] J.M.Borwein
and P.B.Borwein, Pi and the AGM.
Wiley, 414 pp., New York (1987).
[10] J.M.Borwein,
D.M.Bradley and R.E.Crandall,
Computational strategies for the Riemann zeta function.
J. of Comput. Appl. Math., v. 121, N 1-2,
pp.247-296 (2000).
[11] R.P.Brent,
Fast Multiple-Precision Evaluation of Elementary Functions. ACM, v.23, N 2,
pp.242-251 (1976).
[12] R.P.Brent
and E.M.McMillan, Some new
algorithms for high-precision computation of Euler's constant.
Math. Comp., v.34, pp.305-312 (1980).
[13] B.C.Carlson,
Algorithms involving arithmetic and geometric means. Amer. Math. Monthly, v.78,
pp.496-505 (1971).
[14] B.C.Carlson,
An algorithm for computing logarithms and arctangents. Math.Comp., v.26,
pp.543-549 (1972).
[15] S.A.Cook,
On the minimum computation time of functions. Thesis, Harvard University
(1966).
[16] D.Coppersmith
and S.Winograd, On the asymptotic
complexity of matrix multiplication. SIAM Journal on Computing, v.11, N 3,
pp.472-492 (1982).
[17] S.B.Gashkov,
On the Complexity of Integration of Rational Fractions. Proceedings of the
Steklov Inst.of Math.,
v. 218, pp.122-133 (1997).
[18] S.B.Gashkov,
V.N. Chubarikov, Arithmetics. Algorithms. The Complexity of Computations.
Publ. 'Vysshaya Shkola', 2-d ed., 320 pp., Moscow (2000).
[19] Karatsuba
A. and Ofman Yu., Multiplication
of Multiplace Numbers on Automata. Dokl.Akad.Nauk SSSR, v.145, N 2, pp.293-294
(1962).
[20] A.Karacuba,
Berechnungen und die Kompliziertheit von Beziehungen. EIK, N 11, pp.10-12
(1975).
[21] A.A.Karatsuba,
The Complexity of Computations. Proceedings of the Steklov Institute of
Mathematics, v.211, pp.169-183 (1995).
[22] Karatsuba
E.A., Fast computation of exp(x). Problems of Information
Transmission, v. 26, N 3, p. 109, Chronicle-17th All-Union School on
Theory of Information and its Applications (1990).
[23] Karatsuba
E.A., On a new method for fast evaluation of transcendental functions.
Uspechi Mat. Nauk, v. 46, N 2 (278), pp. 219--220 (1991).
[24] Karatsuba
E.A., On the fast computation of transcendental functions. Doklady Akad.
Nauk SSSR, v. 319, N 2, pp. 278--279 (1991).
[25] Karatsuba
E.A., Fast evaluations of transcendental functions. Probl. Peredachi
Informat., v. 27, N 4, pp. 87—110 (1991).
[26] Karatsuba
E.A., Fast evaluation of ζ(3),
Probl. Peredachi Informat., v. 29, N 1, pp. 68--73 (1993).
[27] Catherine
A.Karatsuba, Fast evaluation of Bessel functions. Integral Transforms and
Special Functions, v.1,
N 4, pp. 269-276 (1993).
[28] Karatsuba
E.A., Fast Evaluation of Riemann zeta-function ζ(s) for integer
values of argument s. Probl. Peredachi Informat., v. 31, N 4, pp. 69--80 (1995).
[29] Karatsuba
E.A., On fast computation of Riemann zeta-function for integer values of
argument. Doklady RAS, v. 349, N 4, p.463 (1996).
[30] Karatsuba
E.A., Fast evaluation of Hurwitz zeta function and Dirichlet L -series,
Problem. Peredachi Informat., v. 34, N 4, pp. 342--353 (1998).
[31] Ekatharine
A. Karatsuba, Fast evaluation of hypergeometric function by FEE.
Computational Methods and Function Theory (CMFT'97),
N.Papamichael, St.Ruscheweyh and E.B.Saff, eds., World Sc.Pub.,
pp. 303-314 (1999).
[32] E.A.Karatsuba,
On the computation of the Euler constant gamma. University of Helsinki
preprint, 21 pp. (1999);
J. of Numerical Algorithms, v. 24, pp.83-97
(2000).
[33] E.A.Karatsuba,
Fast computation of ζ(3) and of some special
integrals, using the polylogarithms, the Ramanujan formula and it's
generalization. J. of Numerical Mathematics BIT, v. 41, N 4, pp.722-730 (2001).
[34] E.A.Karatsuba,
Fast computation of some special integrals of mathematical physics. Scientific
Computing, Validated Numerics, Interval Methods, W.Krämer,J.W.von
Gudenberg,eds., pp.29-41 (2001).
[35] D.E.Knuth,
The art of computer programming. v.2 Addison-Wesley Publ.Co., 724 pp., Reading
(1969).
[36] A.N.Kolmogorov,
Asymptotic characteristics of some completely bounded metric spaces. Dokl.
Akad. Nauk SSSR, v.108, N 3, pp.385-388 (1956).
[37] A.N.
Kolmogorov, Information Theory and the Theory of Algorithms. Publ. Nauka,
303 pp., Moscow (1987).
[38] J.Landen,
An investigation of a general theorem for finding the length of any arc of any
conic hyperbola, by means of two elliptic arcs, with some other new and useful
theorems deduced therefrom. Philos.Trans.Royal Soc. London, v. 65, pp.283-289
(1775).
[39] D.W.Lozier
and F.W.J.Olver, Numerical
Evaluation of Special Functions. Mathematics of Computation 1943-1993: A Half
-Century of Computational Mathematics, W.Gautschi,eds., Proc. Sympos. Applied
Mathematics, AMS, v.48, pp.79-125 (1994).
[40] V.I.Nechaev,
Elements of Cryptography. Basic Protection Information Theory. Publ. 'Vysshaya
Shkola', 110 pp., Moscow (1999).
[41] V.Ya.Pan,
Strassen's algorithm is not optimal. Proc. ACM Symp. on the Found. of
Comp.Science, pp.166-176 (1978).
[42] E.Salamin,
Computation of π using arithmetic-geometric mean. Math.
Comp., v.30, N 135, pp.565-570 (1976).
[43] A.Schőnhage,
Schnelle Multiplikation grosser Zahlen. Computing, v.1, pp.182-196 (1966).
[44] A.Schőnhage
und V.Strassen, Schnelle
Multiplikation grosser Zahlen. Computing, v.7, pp.281-292 (1971).
[45] A.Schőnhage,
A.F.W.Grotefeld and E.Vetter,
Fast Algorithms. BI-Wiss.-Verl., 300 pp., Zűrich (1994).
[46] C.L.Siegel,
Transcendental numbers. Princeton University Press, 102 pp., Princeton (1949).
[47] V.Strassen,
Gaussian elimination is not optimal. J. Numer. Math., N 13, pp.354-356 (1969).
[48] A.L.Toom,
The complexity of a scheme of functional elements realising the multiplication
of integers.
Dokl.Akad.Nauk SSSR, v.150, N 3, pp.496-498
(1963).
J
Answers to the frequently
asked (mainly by computer scientists) questions
About the
FEE see E.A.Karatsuba's paper:
'Fast evaluation of Hurwitz zeta function
and Dirichlet L-series'.